Inosine triphosphate
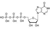
Inosine triphosphate (ITP) is an intermediate in the purine metabolism pathway, seen in the synthesis of ATP and GTP. It comprises an inosine nucleotide containing three phosphate groups esterified to the sugar moiety.
|  | |
| Names | |
|---|---|
| Preferred IUPAC name O1-{[(2R,3S,4R,5R)-3,4-Dihydroxy-5-(6-oxo-1,6-dihydro-9H-purin-9-yl)oxolan-2-yl]methyl} tetrahydrogen triphosphate | |
| Other names iniosine triphosphate | |
| Identifiers | |
| 3D model (JSmol) | |
| ChEBI | |
| ChEMBL | |
| ChemSpider | |
| ECHA InfoCard | 100.004.589 | 
| EC Number | 
 | 
| KEGG | |
| PubChem CID | |
| UNII | |
| CompTox Dashboard (EPA) | |
| 
 | |
| 
 | |
| Properties | |
| C10H15N4O14P3 | |
| Molar mass | 508.165 g·mol−1 | 
| 903.5 mg/mL | |
| Except where otherwise noted, data are given for materials in their standard state (at 25 °C [77 °F], 100 kPa). Infobox references | |
ITP results from deamination of ATP. Incorporation of ITP into the DNA from the nucleotide pool can lead to DNA damage, mutagenesis and other harmful effects.[1] ITP is processed by the enzyme inosine triphosphate pyrophosphatase (ITPA), which turns it into inosine monophosphate (IMP), to avoid incorporation into DNA.[1]
References
    
- Ji D, Stepchenkova EI, Cui J, Menezes MR, Pavlov YI, Kool ET (November 2017). "Measuring deaminated nucleotide surveillance enzyme ITPA activity with an ATP-releasing nucleotide chimera". Nucleic Acids Research. 45 (20): 11515–11524. doi:10.1093/nar/gkx774. PMC 5714213. PMID 29036687.
    This article is issued from Wikipedia. The text is licensed under Creative Commons - Attribution - Sharealike. Additional terms may apply for the media files.
