Seifert–Van Kampen theorem
In mathematics, the Seifert–Van Kampen theorem of algebraic topology (named after Herbert Seifert and Egbert van Kampen), sometimes just called Van Kampen's theorem, expresses the structure of the fundamental group of a topological space in terms of the fundamental groups of two open, path-connected subspaces that cover . It can therefore be used for computations of the fundamental group of spaces that are constructed out of simpler ones.
Van Kampen's theorem for fundamental groups
    
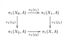
Let X be a topological space which is the union of two open and path connected subspaces U1, U2. Suppose U1 ∩ U2 is path connected and nonempty, and let x0 be a point in U1 ∩ U2 that will be used as the base of all fundamental groups. The inclusion maps of U1 and U2 into X induce group homomorphisms and . Then X is path connected and and form a commutative pushout diagram:
The natural morphism k is an isomorphism. That is, the fundamental group of X is the free product of the fundamental groups of U1 and U2 with amalgamation of .[1]
Usually the morphisms induced by inclusion in this theorem are not themselves injective, and the more precise version of the statement is in terms of pushouts of groups.
Van Kampen's theorem for fundamental groupoids
    
Unfortunately, the theorem as given above does not compute the fundamental group of the circle – which is the most important basic example in algebraic topology – because the circle cannot be realised as the union of two open sets with connected intersection. This problem can be resolved by working with the fundamental groupoid on a set A of base points, chosen according to the geometry of the situation. Thus for the circle, one uses two base points.[2]
This groupoid consists of homotopy classes relative to the end points of paths in X joining points of A ∩ X. In particular, if X is a contractible space, and A consists of two distinct points of X, then is easily seen to be isomorphic to the groupoid often written with two vertices and exactly one morphism between any two vertices. This groupoid plays a role in the theory of groupoids analogous to that of the group of integers in the theory of groups.[3] The groupoid also allows for groupoids a notion of homotopy: it is a unit interval object in the category of groupoids.
 A connected union of two non connected spaces, with set of base points A connected union of two non connected spaces, with set of base points
The category of groupoids admits all colimits, and in particular all pushouts.
- Theorem. Let the topological space X be covered by the interiors of two subspaces X1, X2 and let A be a set which meets each path component of X1, X2 and X0 = X1 ∩ X2. Then A meets each path component of X and the diagram P of morphisms induced by inclusion
- is a pushout diagram in the category of groupoids.[4]
This theorem gives the transition from topology to algebra, in determining completely the fundamental groupoid ; one then has to use algebra and combinatorics to determine a fundamental group at some basepoint.
One interpretation of the theorem is that it computes homotopy 1-types. To see its utility, one can easily find cases where X is connected but is the union of the interiors of two subspaces, each with say 402 path components and whose intersection has say 1004 path components. The interpretation of this theorem as a calculational tool for "fundamental groups" needs some development of 'combinatorial groupoid theory'.[5][6] This theorem implies the calculation of the fundamental group of the circle as the group of integers, since the group of integers is obtained from the groupoid by identifying, in the category of groupoids, its two vertices.
There is a version of the last theorem when X is covered by the union of the interiors of a family of subsets.[7][8]
The conclusion is that if A meets each path component of all 1,2,3-fold intersections of the sets , then A meets all path components of X and the diagram
of morphisms induced by inclusions is a coequaliser in the category of groupoids.
[...] people still obstinately persist, when calculating with fundamental groups, in fixing a single base point, instead of cleverly choosing a whole packet of points which is invariant under the symmetries of the situation, which thus get lost on the way. In certain situations (such as descent theorems for fundamental groups à la Van Kampen) it is much more elegant, even indispensable for understanding something, to work with fundamental groupoids with respect to a suitable packet of base points [...]
Equivalent formulations
    
In the language of combinatorial group theory, if is a topological space; and are open, path connected subspaces of ; is nonempty and path-connected; and ; then is the free product with amalgamation of and , with respect to the (not necessarily injective) homomorphisms and . Given group presentations:
the amalgamation can be presented[9] as
In category theory, is the pushout, in the category of groups, of the diagram:
Examples
    
    2-sphere
    
One can use Van Kampen's theorem to calculate fundamental groups for topological spaces that can be decomposed into simpler spaces. For example, consider the sphere . Pick open sets and where n and s denote the north and south poles respectively. Then we have the property that A, B and A ∩ B are open path connected sets. Thus we can see that there is a commutative diagram including A ∩ B into A and B and then another inclusion from A and B into and that there is a corresponding diagram of homomorphisms between the fundamental groups of each subspace. Applying Van Kampen's theorem gives the result
However, A and B are both homeomorphic to R2 which is simply connected, so both A and B have trivial fundamental groups. It is clear from this that the fundamental group of is trivial.
Wedge sum of spaces
    
Given two pointed spaces and we can form their wedge sum, , by taking the quotient of by identifying their two basepoints.
If admits a contractible open neighborhood and admits a contractible open neighborhood (which is the case if, for instance, and are CW complexes), then we can apply the Van Kampen theorem to by taking and as the two open sets and we conclude that the fundamental group of the wedge is the free product of the fundamental groups of the two spaces we started with:
- .
Orientable genus-g surfaces
    
A more complicated example is the calculation of the fundamental group of a genus-n orientable surface S, otherwise known as the genus-n surface group. One can construct S using its standard fundamental polygon. For the first open set A, pick a disk within the center of the polygon. Pick B to be the complement in S of the center point of A. Then the intersection of A and B is an annulus, which is known to be homotopy equivalent to (and so has the same fundamental group as) a circle. Then , which is the integers, and . Thus the inclusion of into sends any generator to the trivial element. However, the inclusion of into is not trivial. In order to understand this, first one must calculate . This is easily done as one can deformation retract B (which is S with one point deleted) onto the edges labeled by
This space is known to be the wedge sum of 2n circles (also called a bouquet of circles), which further is known to have fundamental group isomorphic to the free group with 2n generators, which in this case can be represented by the edges themselves: . We now have enough information to apply Van Kampen's theorem. The generators are the loops (A is simply connected, so it contributes no generators) and there is exactly one relation:
Using generators and relations, this group is denoted
Simple-connectedness
    
If X is space that can be written as the union of two open simply connected sets U and V with U ∩ V non-empty and path-connected, then X is simply connected.[10]
Generalizations
    
As explained above, this theorem was extended by Ronald Brown to the non-connected case by using the fundamental groupoid on a set A of base points. The theorem for arbitrary covers, with the restriction that A meets all threefold intersections of the sets of the cover, is given in the paper by Brown and Abdul Razak Salleh.[11] The theorem and proof for the fundamental group, but using some groupoid methods, are also given in J. Peter May's book.[12] The version that allows more than two overlapping sets but with A a singleton is also given in Allen Hatcher's book below, theorem 1.20.
Applications of the fundamental groupoid on a set of base points to the Jordan curve theorem, covering spaces, and orbit spaces are given in Ronald Brown's book.[13] In the case of orbit spaces, it is convenient to take A to include all the fixed points of the action. An example here is the conjugation action on the circle.
References to higher-dimensional versions of the theorem which yield some information on homotopy types are given in an article on higher-dimensional group theories and groupoids.[14] Thus a 2-dimensional Van Kampen theorem which computes nonabelian second relative homotopy groups was given by Ronald Brown and Philip J. Higgins.[15] A full account and extensions to all dimensions are given by Brown, Higgins, and Rafael Sivera,[16] while an extension to n-cubes of spaces is given by Ronald Brown and Jean-Louis Loday.[17]
Fundamental groups also appear in algebraic geometry and are the main topic of Alexander Grothendieck's first Séminaire de géométrie algébrique (SGA1). A version of Van Kampen's theorem appears there, and is proved along quite different lines than in algebraic topology, namely by descent theory. A similar proof works in algebraic topology.[18]
See also
    
    
Notes
    
- Lee, John M. (2011). Introduction to topological manifolds (2nd ed.). New York: Springer. ISBN 978-1-4419-7939-1. OCLC 697506452. pg. 252, Theorem 10.1.
- http://planetmath.org/vankampenstheorem R. Brown, Groupoids and Van Kampen's theorem, Proc. London Math. Soc. (3) 17 (1967) 385–401.
- Ronald Brown. "Groupoids in Mathematics". http://groupoids.org.uk/gpdsweb.html
- R. Brown. Topology and Groupoids., Booksurge PLC (2006). http://groupoids.org.uk/topgpds.html
- http://planetmath.org/?method=src&from=objects&name=VanKampensTheorem&op=getobj P.J. Higgins, Categories and Groupoids, Van Nostrand, 1971, Reprints of Theory and Applications of Categories, No. 7 (2005),pp 1–195.
- R. Brown, Topology and Groupoids., Booksurge PLC (2006).
- Ronald Brown, Philip J. Higgins and Rafael Sivera. Nonabelian Algebraic Topology: filtered spaces, crossed complexes, cubical homotopy groupoids, European Mathematical Society Tracts vol 15, August, 2011.
- Higher-dimensional, generalized Van Kampen theorems (HD-GVKT) http://planetphysics.org/encyclopedia/HDGvKTVanKampenTheorems.html
- Lee 2011, p. 253, Theorem 10.3.
- Greenberg & Harper 1981
- Brown, Ronald and Razak Salleh, Abdul, "A Van Kampen theorem for unions of nonconnected spaces". Archiv der Mathematik (Basel) 42 (1984), no. 1, 85–88.
- May, J. Peter, "A Concise Introduction to Algebraic Topology", chapter 2, (1999)
- Brown, Ronald, "Topology and Groupoids", Booksurge, (2006)
- Ronald Brown. "Higher-dimensional group theory" . 2007. http://www.bangor.ac.uk/~mas010/hdaweb2.htm
- Brown, Ronald and Higgins, Philip J. "On the connection between the second relative homotopy groups of some related spaces", Proceedings of the London Mathematical Society (3) 36 (1978), 193-212.
- Brown, Ronald, Higgins, Philip J., and Sivera, Rafael, "Nonabelian algebraic topology: filtered spaces, crossed complexes, cubical homotopy groupoids", EMS Tracts in Mathematics vol 15, 20011. http://groupoids.org.uk/nonab-a-t.html
- Brown, Ronald and Loday, Jean-Louis, "Van Kampen theorems for diagrams of spaces, Topology 26 (1987), 311–334.
- Douady, Adrien and Douady, Régine, "Algèbre et théories galoisiennes", Cassini (2005)
References
    
- Allen Hatcher, Algebraic topology. (2002) Cambridge University Press, Cambridge, xii+544 pp. ISBN 0-521-79160-X and ISBN 0-521-79540-0
- Peter May, A Concise Course in Algebraic Topology. (1999) University of Chicago Press, ISBN 0-226-51183-9 (Section 2.7 provides a category-theoretic presentation of the theorem as a colimit in the category of groupoids).
- Ronald Brown, Groupoids and Van Kampen's theorem, Proc. London Math. Soc. (3) 17 (1967) 385–401.
- Mathoverflow discussion on many base points
- Ronald Brown, Topology and groupoids (2006) Booksurge LLC ISBN 1-4196-2722-8
- R. Brown and A. Razak, A Van Kampen theorem for unions of non-connected spaces, Archiv. Math. 42 (1984) 85–88. (This paper gives probably the optimal version of the theorem, namely the groupoid version of the theorem for an arbitrary open cover and a set of base points which meets every path component of every 1-.2-3-fold intersections of the sets of the cover.)
- P.J. Higgins, Categories and groupoids (1971) Van Nostrand Reinhold
- Ronald Brown, Higher-dimensional group theory (2007) (Gives a broad view of higher-dimensional Van Kampen theorems involving multiple groupoids).
- Greenberg, Marvin J.; Harper, John R. (1981), Algebraic topology. A first course, Mathematics Lecture Note Series, vol. 58, Benjamin/Cummings, ISBN 0805335579
- Seifert, H., Konstruction drei dimensionaler geschlossener Raume. Berichte Sachs. Akad. Leipzig, Math.-Phys. Kl. (83) (1931) 26–66.
- E. R. van Kampen. On the connection between the fundamental groups of some related spaces. American Journal of Mathematics, vol. 55 (1933), pp. 261–267.
- Brown, R., Higgins, P. J, On the connection between the second relative homotopy groups of some related spaces, Proc. London Math. Soc. (3) 36 (1978) 193–212.
- Brown, R., Higgins, P. J. and Sivera, R.. 2011, EMS Tracts in Mathematics Vol.15 (2011) Nonabelian Algebraic Topology: filtered spaces, crossed complexes, cubical homotopy groupoids; (The first of three Parts discusses the applications of the 1- and 2-dimensional versions of the Seifert–van Kampen Theorem. The latter allows calculations of nonabelian second relative homotopy groups, and in fact of homotopy 2-types. The second part applies a Higher Homotopy van Kampen Theorem for crossed complexes, proved in Part III.)
- "Van Kampen's theorem result". PlanetMath.
- R. Brown, H. Kamps, T. Porter : A homotopy double groupoid of a Hausdorff space II: a Van Kampen theorem', Theory and Applications of Categories, 14 (2005) 200–220.
- Dylan G.L. Allegretti, Simplicial Sets and Van Kampen's Theorem (Discusses generalized versions of Van Kampen's theorem applied to topological spaces and simplicial sets).
- R. Brown and J.-L. Loday, "Van Kampen theorems for diagrams of spaces", Topology 26 (1987) 311–334.
This article incorporates material from Van Kampen's theorem on PlanetMath, which is licensed under the Creative Commons Attribution/Share-Alike License.
External links
    
 Media related to Seifert–Van Kampen theorem at Wikimedia Commons Media related to Seifert–Van Kampen theorem at Wikimedia Commons







